安徽专升本网持续为大家带来复习备考资料,接下来为大家带来2022年安徽统招专升本公共课试题及答案的详细讲解,希望能帮助大家顺利备考哦。

2022年安徽统招专升本公共课试题及答案
英语
一、选择题
1. Were all three people in the car injured in the accident?
-No,____only the two passengers who got hurt.
A.there were
B.it were
C.there was
D.it was
2. It was not until 1936_____ baseball became a regular part of Olympic Games.
A.then
B. which
C. that
D.when
3.____in 1943____the harmful smog made its appearance in Los Angeles.
A.Only, that
B. It was, then
C. That it was, when
D. It was , that
4.It was on the National Day ______she met with her separated sister.
A.that
B. where
C. when
D.which
5. _____the 1500s _____the first European explored the coast of California.
A. It was until, then
B. It was not until, when
C. It is until, that
D. It was not until, that
语文
《饮酒》
一、选择题
1.我国田园诗派的开创者是( )
A.陶渊明 B.王维
C.孟浩然 D.谢灵运
2.《饮酒》是一首( )
A.五言律诗 B.乐府诗
C.五言古诗 D.五言绝句
3.陶渊明诗作中,成就最高的是( )
A.田园诗 B.咏怀诗
C.咏史诗 D.咏怀和咏史诗
4.陶渊明《饮酒》“采菊东篱下,悠然见南山”两句的抒情方式是( )
A.借景抒情 B.借典故抒情
C.借前人成句抒情 D.直抒胸臆
5.陶渊明《饮酒》中,最富有哲理意味的诗句是( )
A.飞鸟相与还 B.心远地自偏
C.结庐在人境 D.悠然见南山
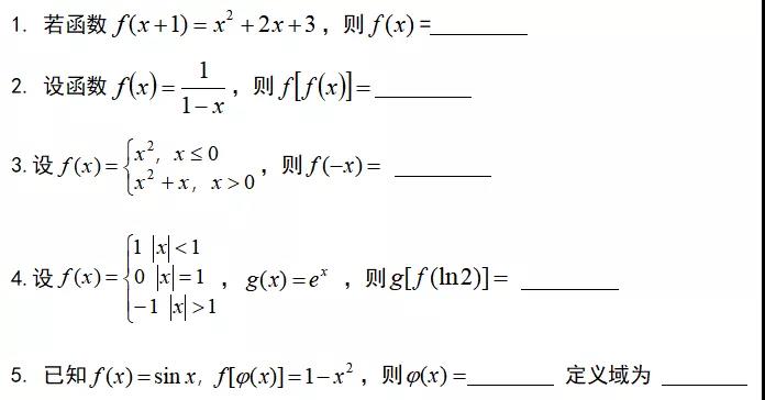
数学

今日答案
英语
一、选择题
1. Were all three people in the car injured in the accident?
-No,____only the two passengers who got hurt.
D.it was
解析:D.本题考查的是强调句式。强调句式由“it is/was 被强调成分 that/who...”构成。
2. It was not until 1936_____ baseball became a regular part of Olympie Games.
C. that
解析:C.本题考查的是强调句式。强调句式由“it is/was 被强调成分 that/who..”构成。本句强调的是时间。
3.____in 1943____the harmful smog made its appearance in Los Angeles.
D. It was , that
解析:D.本题考查的是强调句式。强调句式由“it is/was 被强调成分 that/who...”构成。本句强调的是时间。
4.It was on the National Day ______she met with her separated sister.
A.that
解析:A.本题考查的是强调句式。强调句式由“itis/was被强调成分that/who...”构成。本句强调的是时间.
5. _____the 1500s _____the first European explored the coast of California.
D. It was not until, that
解析:D.本题考查的是强调句式。强调句式由“it is/was 被强调成分that/who...”构成。本句强调的是时间。not until...意为“直到......才”。
语文
一、词语解释
1.A 【解析】陶渊明是田园诗派的开创者。
2.C 【解析】本诗的体裁是五言古诗。
3.A 【解析】陶渊明是田园诗派的代表诗人。
4.A 【解析】“采菊东篱下,悠然见南山”属于写田园景色表达诗人对田园生活的喜爱。故属于借景抒情。
5.B 【解析】本诗中富有哲理的句子是“心远地自偏”。
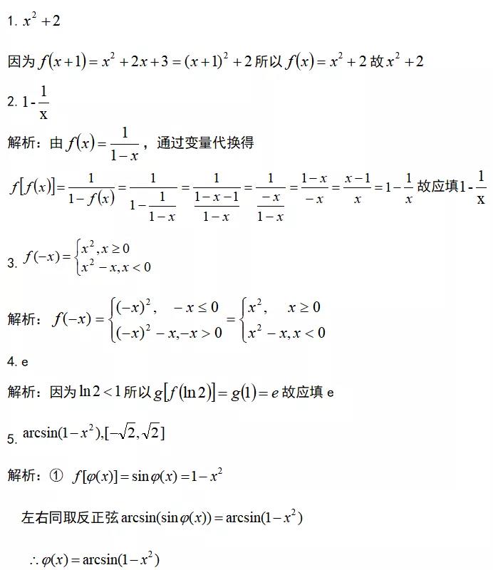
数学

以上就是关于2022年安徽统招专升本公共课试题及答案的简要介绍了,希望大家在2021年安徽专升本能够取得自己心仪的成绩。如有更多想要知道安徽专升本常见问题的相关资讯,如专升本招生学校、考试动态、招生专业等。敬请关注安徽专升本(www.ahsxez.com)。
想了解更多安徽专升本考试信息,可以关注安徽传爱专升本网微信公众号哦,回复【年终大礼包】获取安徽专升本真题哦,还可以扫码加入右侧【安徽专升本考试交流群】或点击【在线咨询】为你在线解答,快跟上安徽专升本考试大部队吧!

安徽专升本声明
(一)由于考试政策等各方面情况的不断调整与变化,本网站所提供的考试信息仅供参考,请以权威部门公布的正式信息为准。
(二)本网站在文章内容来源出处标注为其他平台的稿件均为转载稿,免费转载出于非商业性学习目的,版权归原作者所有。如您对内容、版权等问题存在异议请于我们联系,我们会及时处理。
文章来源于网络,如有侵权,请联系删除

新手指南
资考老师
教资培训
升本报名
自考咨询
成考咨询



