1.![]()
A.2/3 B.1 C.3/2 D.3
答案:C
2.设函数y=2x+sinx,则y/=
A.1-cosx B.1+cosx C.2-cosx D.2+cosx
答案:D
3.设函数y=ex-2,则dy=
A.ex-3dx B.ex-2dx C.ex-1dx D.exdx
答案:B
4.设函数y=(2+x)3,则y/=
A.(2+x)2 B.3(2+x)2 C.(2+x)4 D.3(2+x)4
答案:B
5.设函数y=3x+1,则y/=
A.0 B.1 C.2 D.3
答案:A
6.![]()
A.ex B.ex-1 C.ex-1 D.ex+1
答案:A
7.![]()
A.2x2+C B.x2+C C.1/2x2+C D.x+C
答案:C
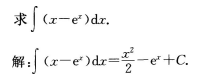
8.![]()
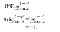
A.1/2 B.1 C.2 D.3
答案:C
9.设函数z=3x2y,则αz/αy=
A.6y B.6xy C.3x D.3X2
答案:D
10.![]()
A.0 B.1 C.2 D.+∞
答案:B
二、填空题:11~20小题,每小题4分,共40分.把答案填在题中横线上.
11.![]()
答案:e2
12.设函数y=x3,则y/=
答案:3x2
13.设函数y=(x-3)4,则dy=
答案:4(x-3)3dx
14.设函数y=sin(x-2),则y"=
答案:-sin(x-2)
15.![]()
答案:1/2ln|x|+C
16.![]()
答案:0
17.过坐标原点且与直线(x-1)/3=(y+1)/2+(z-3)/-2垂直的平面方程为
答案:3x+2y-2z=0
18.设函数x=3x+y2,则dz=
答案:3dx+2ydy
19.微分方程y/=3x2的通解为y=
答案:x3+C
20.![]()
答案:2
三、解答题:21-28题,共70分。解答应写出推理、演算步骤。
21.(本题满分8分)
![]()
22.(本题满分8分)
![]()
23.(本题满分8分)
求曲线y=x3-3x+5的拐点。
解:y/=3x2-3,y"=6x
令y"=0,解得x=0
当x<0时,y"<0;当x>0时,y">0
当x=0是,y=5
因此,点(0,5)为所给曲线的拐点
24.(本题满分8分)
![]()
25.(本题满分8分)
![]()
26.(本题满分10分)
设D为曲线y=x2与直线y=x所围成的有界平面图形,求D饶x轴旋转一周所得旋转体的体积V。
![]()

安徽专升本声明
(一)由于考试政策等各方面情况的不断调整与变化,本网站所提供的考试信息仅供参考,请以权威部门公布的正式信息为准。
(二)本网站在文章内容来源出处标注为其他平台的稿件均为转载稿,免费转载出于非商业性学习目的,版权归原作者所有。如您对内容、版权等问题存在异议请于我们联系,我们会及时处理。
文章来源于网络,如有侵权,请联系删除

新手指南
资考老师
教资培训
升本报名
自考咨询
成考咨询



